As a byproduct of Judge Kenneth D. Bell ruling on a summary judgment in favor of 23XI Racing and Front Row Motorsports against NASCAR, the court has also unsealed and unredacted a number of documents regarding the case.
That includes a copy of the 2025 NASCAR Cup Series Charter Agreement made available in full. This particular document, which is the same for all 13 teams that signed it, belongs to the Hendrick Motorsports No. 24 entry — currently designated Charter Number 08.
A PDF copy of the 2025 NASCAR Charter Agreement can be downloaded and viewed here.
Some of these details were already public, but the exact figures of payment were not, until getting released this week.
The 2016 to 2014 charter agreement used a three-year rolling average of championship finishes to determine how much a team got paid by NASCAR. With the new agreement, this is now a two-year rolling average. In other words, the value of each charter is determined by 100 percent of the most recent season’s championship finish and 50 percent of the previous season’s championship finish.
This is why, by the way, it was so valuable for the Wood Brothers to have won a race the past two years, because it guaranteed two consecutive top-16 championship finishes under the current playoff format.
This is also why Richard Childress said NASCAR stripping Austin Dillon of a playoff spot for his controversial Richmond win was so costly. It cost the No. 3 car two consecutive top-16 championship finishes.
It’s also why it was important for Trackhouse to promote Shane Van Gisbergen to Cup ASAP and let him figure out ovals because a single road course win would mean making at least a million dollars in year-end purse payout.
Performance Plan Payout Model
Rolling 2-year Owner Points Shares
- 36 shares given to the best average Charter Team Owner Points finish over the past 2 years, declining to 1 share for 36th best average Charter Team Owner Points finish
- Most recent year weighted at 100%, 2nd most recent year at 50%
- In the event of a tie in Charter Team Owner Points in a given season, teams that are tied will both receive credit for their tied position (e.g. if two teams tied for 5th in average Charter Team Owner Points finish over the past two years, then each of those two Teams would split the shares for 5th and 6th place, resulting in 31.5 shares for each Team — 32 shares for 5th, 31 shares for 6th, average of 31.5 shares
A charter’s rolling 2-year Owner Points shares are divided by the total number of outstanding shares to determine the percentage of total Performance Plan money to be paid out to the Charter in the following season
Given the rolling nature of the calculation, (NASCAR) will notify all Charter Teams of their Performance Plan payout for the following season within 30 calendar days subsequent to the final race results for each Season.
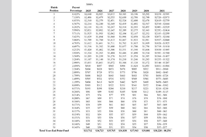
Year End Point Fund Payout
Race Payouts
We want your opinion!
What would you like to see on Motorsport.com?
– The Motorsport.com Team
Disclaimer : This story is auto aggregated by a computer programme and has not been created or edited by DOWNTHENEWS. Publisher: motorsport.com





